• Lesson 4.4 - Acid & Base and Titration

    Learning Goals: By the end of this lesson you will be able to

    1. Describe acids and bases
    2. Demonstrate titration  lab (in virtual)
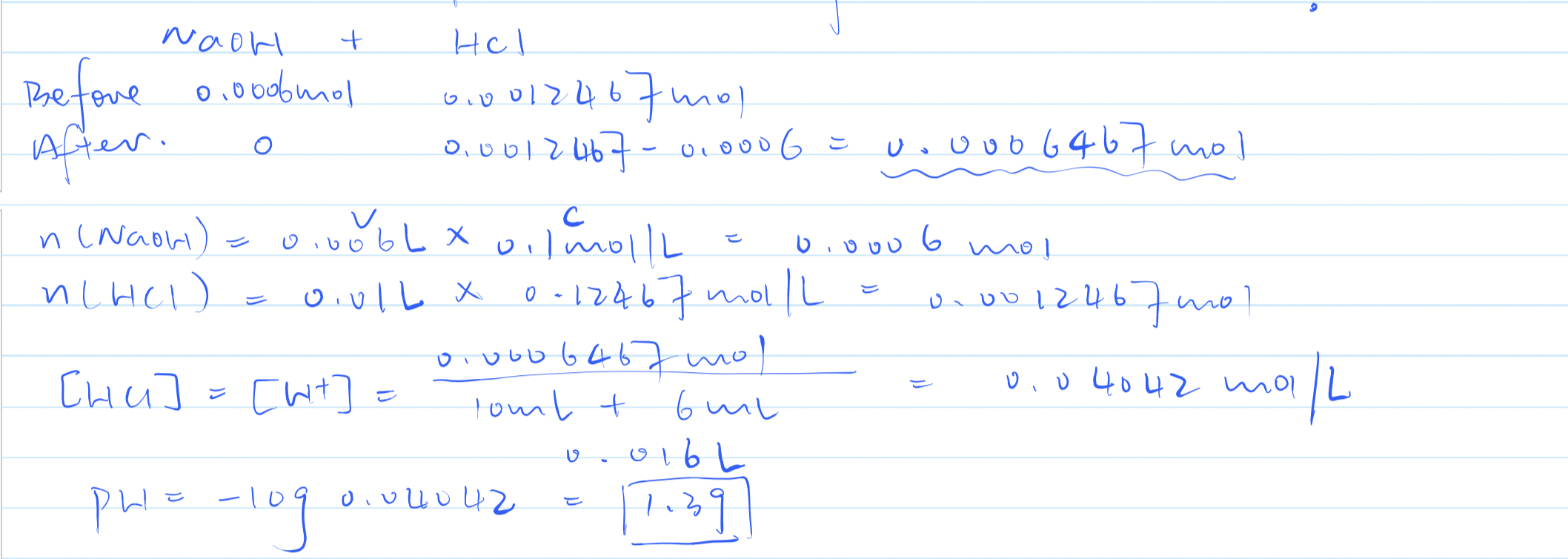
    3. Solve math-related to titration problem
    4. Outline water treatment process (drinking and waster water)

    Success Criteria: By the end of this lesson you will be able to

    1. Prediction of acid and base product/s & endpoint of pH
    2. Calculate unknown conc. of acid or base
    3. Steps of a titration lab procedure
    4. Compare Soft water and hard water
    5. Steps of water treatments