Skip to main content
    • Close
      Toggle search input

    [TEA-Oct-25] SCH3U C ...

    Close
    Toggle search input
    1. Courses
    2. [TEA-Oct-25] SCH3U Chemistry Grade 11 by Mr. J. Vanasco (2025-26 T2)
    3. Final Evaluation (30%)

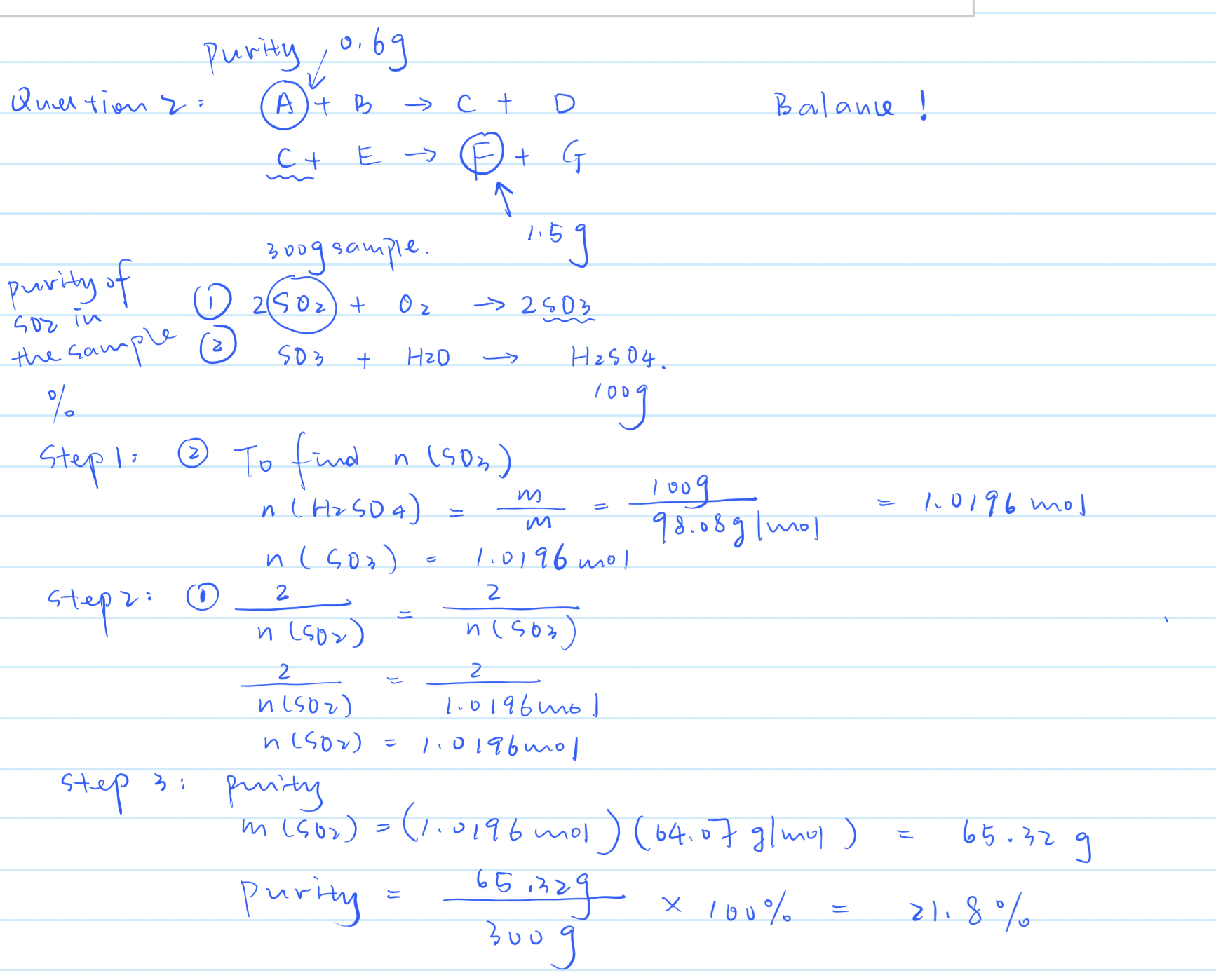
    Final Evaluation (30%)

    • Final Evaluation (30%)

      Final Evaluation (30%)

      • Screen Shot 2022-08-24 at 9.23.08 AM.png
      • Screen Shot 2022-08-24 at 9.34.32 AM.png
      • Screen Shot 2022-08-24 at 9.44.40 AM.png
      •  Final Exam - Multiple Choice Quiz
      •  Final Exam - Fill in Blanks and Long Answers Quiz
    Previous section
    Lesson 5.2 - Dalton partial gas law & Ideal gas law
    Skip Search forums

    Search forums

    Advanced search
    Skip Upcoming events

    Upcoming events

    P1 Report Finalization (term 2) /OSSLT Test
    Thursday, 20 November, 12:12 AM

    Drop Course Deadline (Term 2)
    Monday, 24 November, 5:40 PM

    Go to calendar...
    Skip Recent activity

    Recent activity

    Activity since Tuesday, 4 November 2025, 5:30 AM
    Full report of recent activity...

    No recent activity

    Data retention summary