Lesson 2.2 - Length of a Line Segment
Learning Goals: By the end of this lesson you will be able to
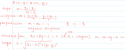
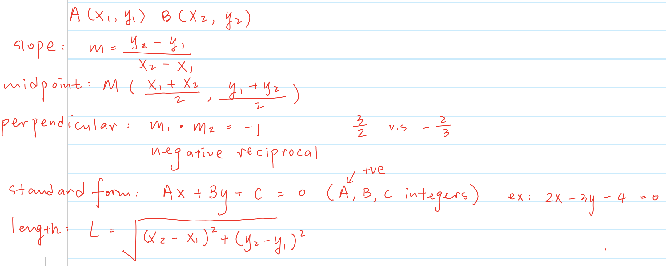
Determine the length of a line segment.Icebreaker forums allow teacher to learn about their students' unique interests, backgrounds and motivations. Also, these forums are an ideal way to build community among students and networking opportunities.
The topic in this forum is not necessary to relate to the course content and should take 5-10 minutes for students to complete.
You have 30 mins to complete.
Open from 3:15am - 3:45am EST.
