Lesson 2.5 - Hooke's Law and Simple Harmonic Oscillations

VIDEO LESSON (34:17 min)
Video is not accessible in some countries. If you cannot view it, you might need VPN to do so.

CONSIDER A SPRING

Hooke's Law states that the restorative force in a spring when extended or compressed is directly proportional to the amount of extension or compression of the spring in the opposite direction of the force.

HOOKE'S LAW


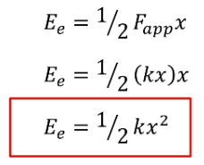
ENERGY IN A SPRING

From the work energy theorem, the energy stored in a extended or compressed spring is equal to the work done on the spring. 

ELASTIC ENERGY



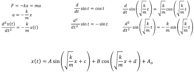
WHAT DOES THIS RESTORATIVE FORCE DO TO A MASS ON A SPRING?




A linear restorative force yields a sinusoidal solution. We call this a simple harmonic oscillator.

SIMPLE HARMONIC MOTION






EXAMPLES




ATOMIC BONDS

Consider \( O_2 \). This is a diatomic molecule.

We can approximate this restorative force between them as \( F=-kx \), with some kind of analog to the spring constant since there is an equilibrium position created by the atomic bond. 
However, quantum mechanic effects make things a bit more complex.

GEDANKEN-EXPERIMENT

Consider a hole through the centre of the earth.

What would happen if you jumped into it?

Last modified: Sunday, 18 May 2025, 8:30 PM