Lesson 1.5 - Kinematics Problems

VIDEO LESSON (33:36 min)
Video is not accessible in some countries. If you cannot view it, you might need VPN to do so.

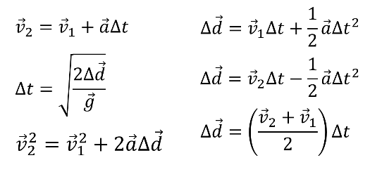
SO FAR WE HAVE:


DERIVING KINEMATIC EQUATIONS






THE FREE FALL CASE


RECAP


EXAMPLE

A car is travelling 85 km/h. If it slows at 5.6 \( m/s^2 \) and it takes 5.0s to stop, what is the braking distance?

SOLUTION:

EXAMPLE PROBLEM 1:

A stone falls from rest off of a 15m bridge. What velocity does the rock hit the water?

SOLUTION:

Last modified: Sunday, 23 November 2025, 10:39 PM