Lesson 3.3 - Mechanical Energy
VIDEO LESSON (23:58 min)


In order to change the height by h, the work done is given as

This is the gravitational potential energy, \( \Delta U \), measured against a reference point.
SOLUTION:



SOLUTION:

Video is not accessible in some countries. If you cannot view it, you might need VPN to do so.
WORK ENERGY THEOREM
The work that is done by a process is the amount energy that is transferred by the applied force.
GRAVITATIONAL POTENTIAL ENERGY
If an object is raised or lowered in a constant gravitational field, work must be done by an applied force. The magnitude of the force is given by
In order to change the height by h, the work done is given as

This is the gravitational potential energy, \( \Delta U \), measured against a reference point.
EXAMPLE PROBLEM #1
If you lift a 10 kg mass up a height of 2.0 m, how much work was done onto the mass?SOLUTION:

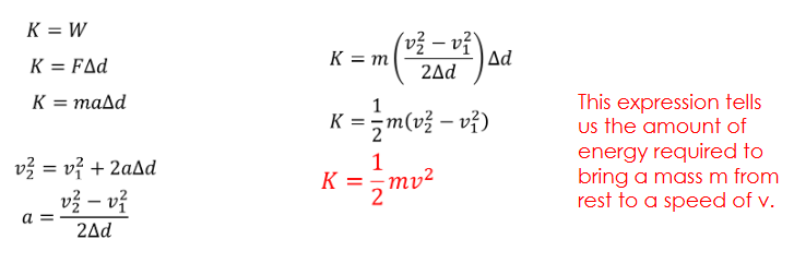
KINETIC ENERGY
Consider an object at rest with a mass, m. If we use a force, F, to accelerate it over a displacement \( \Delta d \). It under goes an acceleration of a and reaches a speed of v.
EXAMPLE PROBLEM #2

SOLUTION:

Last modified: Friday, 13 March 2026, 3:12 PM