Carbohydrates & Lipids Concept Questions
Carbohydrates
- Explain the relationship between monomers and polymers, using polysaccharides as an example.
- Why can't cellulose be used by humans as an energy source? Explain.
- Why is fibre (i.e., cellulose) considered to be an important part of a healthy diet?
- Name four examples of polysaccharides and state their primary function.
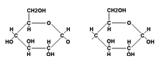
- a) Two monomers are being linked together in the diagram below to form what new compound? Complete the bond that joins these two compounds together.

c) What type of linkage connects these two compounds together?
d) What is the name given to this type of reaction?
Lipids
- How does the structure of an unsaturated fatty acid differ from the structure of a saturated fatty acid? Give an example of a food that contains each.
- Explain why some fatty acids are solid at room temperature while others are liquid.
- When you consume more food than you need for energy, the excess is stored in the form of lipids. Why are lipids particularly useful for this purpose?
- What property do all lipids share? How does this make them ideal for building cell membrane?
- Saturated is to single bond as is to double bond.
- What functional groups are found in lipids, such as the one found to the right? Circle and identify each group.
- What is the name of the bond indicated by the arrow in the lipid below?
- What type of fatty acid is shown in the lipid below?
- How would a polyunsaturated fatty acid differ?
- How would a saturated fatty acid differ?
- If the lipid below was a triglyceride, how many fatty acids would be linked to the glycerol?
- If the lipid below was a phospholipid, how many fatty acids would be linked to the glycerol and what additional group(s) would be present in the molecule?
- What type of reaction would occur to link each fatty acid to the glycerol?
- List the different types of lipids and state each of their functions.
- When a person goes on a diet, stored lipids begin to be digested. What happens chemically when the lipids are digested (broken down)? What is the name given to this process?

Last modified: Saturday, 22 February 2025, 10:37 AM