Lesson 1.3 - Circular Motion
Video is not accessible in some countries. If you cannot view it, you might need VPN to do so.
INERTIAL VS. NON-INERTIAL FRAMES OF REFERENCE
All frames of reference that are at rest or moving at a constant velocity are fundamentally indistinguishable. By which we mean that there is no experiment that can be done that will determine if the frame of reference is moving or standing still.

An accelerating frame of reference is a non-inertial frame of reference. Due to Newton's First Law, objects will now appear to be under the influence of an unbalanced force causing an acceleration in the opposite direction of acceleration of the frame of reference.
CONSIDER A CAR GOING AROUND A CORNER

WHAT IS CENTRIPETAL ACCELERATION?
Consider the motion of an object around a circle of radius r.
CENTRIPETAL ACCELERATION AND CENTRIPETAL FORCE

EXAMPLE PROBLEM #1
a) A \( 2.00 \times10^2g \) mass is attached to a \( 10.0cm \) rope and is spun around at \( 5.0 m/s \) on a plane parallel to the ground. Determine the tension in the string.
SOLUTION:

b) If the mass is now spun perpendicular to the ground, what is the maximum tension in the rope?
SOLUTION:

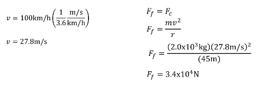
EXAMPLE PROBLEM #2: A Banked Curve
A curve on a highway can have large centripetal forces that require significant friction to ensure that the car doesn't go off the road.For a \( 2.0 \times10^3kg \) car travelling at \( 1.00 \times10^2km/h \) around a bend with radius of curvature of \( 45m \), determine the force of friction felt in the wheels.
SOLUTION:

To minimize this friction engineers bank the curve so that gravity helps add to the centripetal force and thus reducing the force of friction.

Assuming there is no friction, what speed, \( v \), can a car of mass, \( m \), travel around a curve of radius, \( r \), safely if the curve is banked at an angle of \( \theta \)?
SOLUTION:
