Lesson 1.4 - Universal Gravity
VIDEO LESSON (26:46 min)
GRADE 11 GRAVITY VIDEO LESSON (25:07 min)
GENERAL RELATIVITY 7 LEVELS OF DIFFICULTY VIDEO (6:08 min)
Video is not accessible in some countries. If you cannot view it, you might need VPN to do so.


Arguably the most important mathematician of the last milenium
PROPORTIONALITIES


Extremely shy and secretive (only spoke to female servants through notes)
200 years later a look through his papers showed he probably discovered:
GRADE 11 GRAVITY VIDEO LESSON (25:07 min)
GENERAL RELATIVITY 7 LEVELS OF DIFFICULTY VIDEO (6:08 min)
Video is not accessible in some countries. If you cannot view it, you might need VPN to do so.
A LONG TIME AGO IN A COUNTRY NOT TOO FAR AWAY...
The slightly mad Danish astronomer spent his life making painstakingly accurate measurements of the sky culminating in is "Star Catalog D".

HE HAD AN ASSISTANT IN PRAGUE...
- A mathematician, he went over Brahe's data to determine some theoretical law's.
- A month after they started working together Brahe died.

- Kepler took his place as the Imperial Mathematician to Emperor Rudolph II
- He discovered what we now call Kelpler's Laws
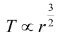
- The one we care about is his Third Law: "The period of a planets orbit is proportional the \( \frac{3}{2}'s \) power of its radius."


Arguably the most important mathematician of the last milenium
- His Principia was the basis of physics for three centuries
- He invented Calculus (just don't tell Liebniz)
- He wrote more on occult studied and alchemy than physics

PROPORTIONALITIES

OH WAIT...ONE MORE PHYSICIST!

Extremely shy and secretive (only spoke to female servants through notes)
200 years later a look through his papers showed he probably discovered:
- Richter's Law of Reciprocal Proportions.
- Ohm's Law, Dalton's Law of Partial Pressures
- Principles of electrical conductivity including Coulomb's Law
- Charles's Law of Gases


IN SUMMARY...

EXAMPLE PROBLEM #1
What is the magnitude of the force of gravity between two students socially distancing at \( 2.0m \) if they both have masses of \( 65kg \)?
SOLUTION:

Last modified: Thursday, 8 May 2025, 8:29 PM