Lesson 2.1 - Momentum
VIDEO LESSON (15:21 min)
Video is not accessible in some countries. If you cannot view it, you might need VPN to do so.


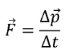
Newton's formulation of his law was:

2) a \( 1750kg \) car travelling at \( 95 km/h \) [W].

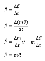
Is \( \vec{F} = \frac{ \Delta \vec{p} }{ \Delta t } \) the same as \( \vec{F} = m \vec{a} \)?

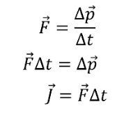
IMPULSE:

The product of the avearge force exerted and the time interval is called the impulse.

SOLUTION:

Video is not accessible in some countries. If you cannot view it, you might need VPN to do so.
RECALL: NEWTON'S SECOND LAW

Newton's formulation of his law was:

where,

\( \vec{p} \) is an objects momentum measure in \( kg \cdot m/s \) (or \( N \cdot s \))
DETERMINE THE MOMEMTUM OF THE FOLLOWING OBJECTS:
1) A \( 500g \) ball travelling at \( 50 m/s \) [forward].
2) a \( 1750kg \) car travelling at \( 95 km/h \) [W].

Is \( \vec{F} = \frac{ \Delta \vec{p} }{ \Delta t } \) the same as \( \vec{F} = m \vec{a} \)?

IMPULSE:

The product of the avearge force exerted and the time interval is called the impulse.

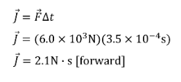
EXAMPLE PROBLEM #1
A golf ball is struck with a force of \( 6.0 \times 10^3 N \). The club and the ball are in contact for \( 3.5 \times 10^{-4} s \). Determine the impulse on the golf ball.SOLUTION:

IMPULSE-MOMENTUM THEOREM

EXAMPLE PROBLEM #2
A puck is shot at \( 45 m/s \) at a goalie and is rebounded in the opposite direction with a velocity of \( 23 m/s \). Determine the impulse on the puck, \( m = 170 g \).
SOLUTION:

Last modified: Sunday, 18 May 2025, 4:29 PM