Lesson 2.2 - Conservation of Momentum
VIDEO LESSON (28:35 min)
Video is not accessible in some countries. If you cannot view it, you might need VPN to do so.


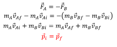
Consider two objects, \( m_A \) and \( m_B \), colliding.
SOLUTION:

SOLUTION:



SOLUTION:


Video is not accessible in some countries. If you cannot view it, you might need VPN to do so.
RECALL: IMPULSE-MOMENTUM THEOREM

Consider two objects, \( m_A \) and \( m_B \), colliding.


By Newton's Third Law, the force of A acting on B is the equal and opposite as the force of B acting on A or

LAW OF CONSERVATION OF MOMENTUM
The total momentum of a system before a collision is equal to the total momentum after the collision
Notice that momentum is a vector quantity.
Thus both x and y components must be conserved.
EXAMPLE PROBLEM #1
A person on a frictionless rolling chair, with combined mass of \( 100 kg \), throws a \( 10 kg \) medicine ball with a velocity of \( 2 m/s \) [E]. What is the velocity of the rolling chair after the ball is thrown?SOLUTION:

EXAMPLE PROBLEM #2
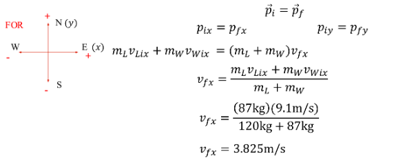
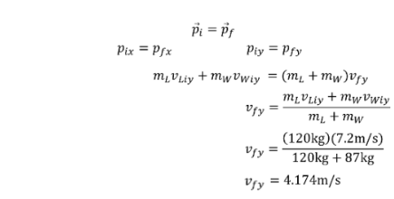
A \( 120 kg \) linebacker travelling \( 7.2 m/s \) [N] tackles a \( 87 kg \) wide receiver travelling at \( 9.1 m/s \) [S]. What is the speed of the pair right after the collision?
SOLUTION:

EXAMPLE PROBLEM #3
A \( 120 kg \) linebacker travelling at \( 7.2 m/s \) [N] tackles an \( 87 kg \) wide reciever travelling at \( 9.1 m/s \) [E]. What is the speed of the pair right after the collision?SOLUTION:



EXAMPLE PROBLEM #4
Two marbles of equal mass collide. One of the marbles are initially at rest. After the collision one marble acquires a velocity of \( 1.10 m/s \) at an angle of \( 40^o \) from the original direction of motion. The other marble acquires a speed of \( 1.36 m/s \). What was the initial speed of the moving marble?SOLUTION:


Last modified: Sunday, 18 May 2025, 6:40 PM