Lesson 2.3 - Elastic and Inelastic Momentum
VIDEO LESSON (26:02 min)
Video is not accessible in some countries. If you cannot view it, you might need VPN to do so.

During:

If some energy is absorbed by the objects and the kinetic energy is not conserved in the collision, we call it an inelastic collision.
SOLUTION:




Video is not accessible in some countries. If you cannot view it, you might need VPN to do so.
CONSIDER THE COLLISION OF TWO BALLS
Before:
During:

ELASTIC VS INELASTIC COLLISIONS
If the objects are able to completely convert the potential energy stored during deformation back into kinetic energy, the collision is elastic. Kinetic energy is conserved.If some energy is absorbed by the objects and the kinetic energy is not conserved in the collision, we call it an inelastic collision.
EXAMPLE PROBLEM #1
A \( 0.0520 kg \) golf ball travelling east with a velocity of \( 2.10 m/s \) collides with a billiard ball (\( m=0.160 kg \)) at rest. If the golf ball rolls back with a velocity of \( 1.04 m/s \), was the collision elastic?SOLUTION:




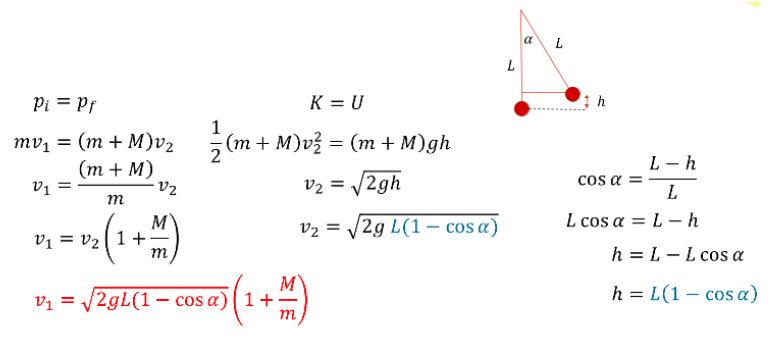
THE BALLISTIC PENDULUM

Show that the velocity of the bullet is given by \( v= \sqrt[]{2gL(1-cos \alpha) }(1+ \frac{M}{m} )

Last modified: Sunday, 18 May 2025, 7:20 PM