Lesson 3.2 - Electric Field
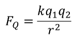
RECALL: COULOMB'S LAW


The electric field lines of two equal same charges viewed along a line of sight perpendicular to the system axis. Notice the electric field is zero at the midpoint of the two charges.


The electric field of two equal but opposite charges (dipole).



SOLUTION:




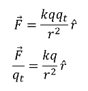
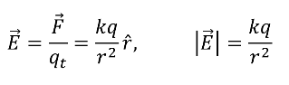
DEFINING ELECTRIC FIELD




The electric field lines of two equal same charges viewed along a line of sight perpendicular to the system axis. Notice the electric field is zero at the midpoint of the two charges.


The electric field of two equal but opposite charges (dipole).


EXAMPLE PROBLEM #1
Determine the electric field at point D.
SOLUTION:



Last modified: Thursday, 5 June 2025, 3:51 PM