Lesson 3.7 - Particle Accelerators

VIDEO LESSON (28:50 min)
Video is not accessible in some countries. If you cannot view it, you might need VPN to do so.

MANIPULATING CHARGES


PARTICLE ACCELERATORS

Being able to manipulate (speed up or steer) charged particles allowed physicists in the 20th century to collide particles at high energies to stimulate exotic subatomic processes. This opened the door to the world of subatomic particle physics. 

By the 1960s, there was a veritable "zoo" of exotic particles. Eventually this mess was consolidated into The Standard Model through the works of Murrey Gell-Mann, Steven Weinburg, Abdus Salam and many others.

CYCLOTRON


Note that the accelerating field frequency is independent of the particle velocity and the path radius.

PROBLEM WITH CYCLOTRON

Once the particles are travelling sufficiently fast (near the speed of light) its mass increases according to the following:

\( m(v)=m_o \frac{1}{ \sqrt[]{1- \frac{v^2}{c^2} } } \)


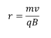
Recall that a charged particle in a uniform magnetic field will travel in a circle with radius, r, given by:


Since, the faster we are travelling the larger the mass becomes, the radius of the particle will be larger than expected. It will lose sync with the electric field oscillation and won't be accelerated at the right time.

Some clever engineering of magnets and oscillation frequencies could help but the sheer size of the magnets required limited the effectiveness of cyclotrons.

LINEAR ACCELERATOR

Cyclotrons are limited to low energy particles. To achieve higher speeds a simple method was devised: the linear accelerator.

SLAC

The Stanford Linear Accelerator (SLAC) is the one of the longest buildings in the world at 3km long. It can achieve beam strength of 50GeV. Three nobel prizes have been awarded for the research done there (1976, 1990, 1995).


INTO THE UNKNOWN...

The most powerful particle accelerators are synchrotrons. They consist of lots of magnets around a beam to steer it in a circle. This means the radius can be MUCH bigger (many kilometres) without making enormous magnets


Particles don't travel in a circle but a many sided polygon having their direction changed at the magnets.
They usually have particles injected by a Linear Accelerator first and are further accelerated by smaller linear accelerators between magnets.
The largest of these is the Large Hadron Collider (LHC) in CERN, Switzerland.




ALTAS DETECTOR



HIGGS BOSON




A NEW STATE OF MATTER

The LHC is also investigating Quark-Gluon Plasmas or Quark-Gluon Soup by colliding lead ions together at temperature of 150 MeV.
This is matter that existed in the first \( \mu s \) of the universe.

Last modified: Thursday, 19 June 2025, 9:41 PM