Lesson 4.1 - Double Slit Diffraction
VIDEO LESSON (29:12 min)
Video is not accessible in some countries. If you cannot view it, you might need VPN to do so.


















Video is not accessible in some countries. If you cannot view it, you might need VPN to do so.

TWO MODELS OF LIGHT
Corpuscular Model: Newton's Theory of Optics relied on tiny massive particles travelling in straight lines.- Problems: Cannot describe diffraction, interference, refraction
Wave Model: Huygen's model considers light to be a wave.
- Problems: Cannot describe photoelectric effect, Compton Effect
HOW DO WAVES PROPAGATE?
Huygen's Principle: Each point on a wave front behaves like a point source. The new waves from each point superimpose onto each other and produce the propagation of the wave

Superposition of Waves
Diffraction
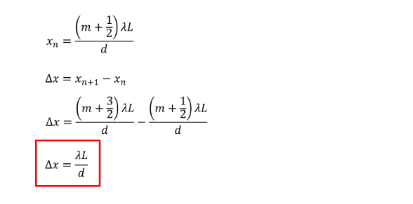
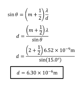
Young's Double Slit Experiment










Last modified: Monday, 23 June 2025, 8:30 PM