Lesson 4.3 - Resolving Power

VIDEO LESSON (12:13 min)
Video is not accessible in some countries. If you cannot view it, you might need VPN to do so.

RESOLUTION 

Any optical imaging device (camera, telescope, microscope, etc.) must have an operating or aperture to let light in.
This aperture can act like a single slit and diffract light around the edges
If we consider a circular aperure, then the intensity of light behind the aperture will create a ring shaped pattern referred to as an Airy Disc

IN A 1 DIMENSIONAL APERTURE:



  • For two distinct sources of light to be resolved by the device the diffraction maximum of one needs to at least coincides with the first minimum of the other
  • We call this the Rayleigh Criterion


If the separation is less than this, then the object can't be resolved

This works out to a minimum angular separation of 


The 1.22 comes from the calculation of the first zero of the Bessel Function of the first kind (divided by \( \pi \))

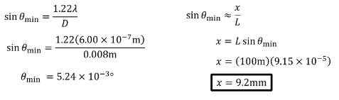
EXAMPLE

A camera lens has an aperture of 0.8cm and is trying to take a picture of a wall 100m away. If the wall is red (\( \lambda \sim \) 600nm). What is the physical limit on the resolution of the image, in other words, what is the separation of two objects on the wall that can be seen as distinct.



Last modified: Monday, 23 June 2025, 10:38 PM