Lesson 5.2 - Time Dilation
VIDEO LESSON (18:28 min)
Video is not accessible in some countries. If you cannot view it, you might need VPN to do so.

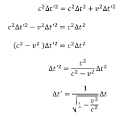
One of the rockets is travelling at a speed of \(v\) while the other one is stationary. There is an observer watching both rockets from outside and an observer in each rocket.




Note that \( \Delta t'\) is the time for light to go up and down the outside frame of reference.





The Twins Paradox (3:33 min)
Video is not accessible in some countries. If you cannot view it, you might need VPN to do so.
CONSIDER TWO ROCKET SHIPS
Each contain a 'clock'. This clock uses a lighbulb and a detector to measure time. It counts the time it takes for light to leave the bulb, hit a mirror and return to a detector.
One of the rockets is travelling at a speed of \(v\) while the other one is stationary. There is an observer watching both rockets from outside and an observer in each rocket.




Note that \( \Delta t'\) is the time for light to go up and down the outside frame of reference.





EXAMPLE
A muon is an unstable 'cousin' of an electron. At rest it decays on average after \( 2.2 \mu s\) into an electron and two neutrinos. In a particle accelerator, muons are created and are travelling at 0.995c. What will be their lifespan in the frame of reference of the accelerator?

The Twins Paradox (3:33 min)
Last modified: Thursday, 26 June 2025, 9:39 PM