Lesson 5.3 - Special Relativity
VIDEO LESSON (22:08 min)
Video is not accessible in some countries. If you cannot view it, you might need VPN to do so.

The Rocket ship Captain considers himself at REST and see the space outside moving at a speed of \(v\) by them. He will see himself having a time interval for their trip, \( \Delta t\). Then the distance between the earth and the star for the Captain will be
a) What is the width of the spaceship measured by a viewer on the spacestation?
b) What is the width of the spacestation measured by a viewer on the spaceship?
SOLUTION:
a)
b) 
Consider light source moving towards us at a speed of \(v\). When considered at rest we can say that the wavelength of the light is the distance between successive crests or wavefronts

For a retreating light source:


Video is not accessible in some countries. If you cannot view it, you might need VPN to do so.
LENGTH CONTRACTION
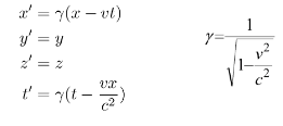
If we apply the postulates of Einstein's Special Relativity, then spatial dimensions and the time dimension become intertwined in a very precise way. Namely a time interval is not absolute and depends on the frame of reference in which it is measured:

WHAT EFFECT DOES THIS HAVE ON A LENGTH INTERVAL?
Consider a rocket travelling from earth to a distant star at a speed \(v\), and two observers, one on earth and the other on the space ship.
The Rocket ship Captain considers himself at REST and see the space outside moving at a speed of \(v\) by them. He will see himself having a time interval for their trip, \( \Delta t\). Then the distance between the earth and the star for the Captain will be

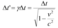
An observer on Earth will see the rocket as a MOVING frame of reference with a time interval of \( \Delta t'\) and then a distance interval of

Since we know that there will be a time dilation for the moving frame of

Then:


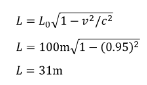
EXAMPLE
Consider a 100cm rocketship passing by 10km wide spacestation at a speed of 0.95c.a) What is the width of the spaceship measured by a viewer on the spacestation?
b) What is the width of the spacestation measured by a viewer on the spaceship?
SOLUTION:
a)
b) 
RELATIVISTIC DOPPLER SHIFT
In much the same way that sound waves bunch up ahead of a moving source and spread out behind it, light changes wavelength in different frames of reference.Consider light source moving towards us at a speed of \(v\). When considered at rest we can say that the wavelength of the light is the distance between successive crests or wavefronts



RELATIVISTIC DOPPLER EFFECT FORMULA
For an approaching light source:
For a retreating light source:

ASTRONOMICAL APPLICATIONS
Stars are mostly made of hydrogen. Hydrogen atoms emit distinctive wavelengths of light that astronomers study. One of these 'emission lines has a wavelength of 656 nm (H alpha line) in labs on Earth. When analysing the light from distant stars this wavelength was found to be pushed further into the red region. A galaxy 4 billion light years away has this emission line red-shifted to 803 nm. How fast is the galaxy moving?
Last modified: Thursday, 26 June 2025, 10:16 PM