Skip to main content
Course search
Close
Course search
Toggle search input
English (en)
English (en)
Français (fr)
Vietnamese (vi)
简体中文 (zh_cn)
Log in
[Async_2025-26] SPH3 ...
Course search
Close
Course search
Toggle search input
Courses
[Async_2025-26] SPH3U Physics Grade 12 by Ms. T. Huynh
Unit 4 - Light (25 Hours)
Lesson 4.8 - Interference of Sound
Lesson 4.8 - Interference of Sound
VIDEO LESSON
(15:39 min)
Video is not accessible in some countries. If you cannot view it, you might need VPN to do so.
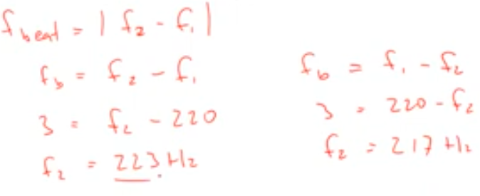
EXAMPLE
Last modified: Saturday, 11 April 2026, 9:12 PM
Previous activity
Lesson 7 Sound Tables
Next activity
Lesson 4.9 - Doppler Effect
Jump to...
Jump to...
Announcements
Course Outline
Formula Sheet
Time Log Sheet
Lab Expectations
Unit Lab Expectations
Problem Set Instructions & Rubric
Online Etiquette
Guidelines for Online Contributions - Discussion Forum
Hardware and Software Requirements
Assignment Submission Guideline
Responsibilities of Students
Lesson 0.1 - REVIEW Significant Digits
Unit 1 Learning Log (0.5H)
Unit 1 Description
Lesson 1.1 - Motion
Lesson 1.2 - Displacement and Velocity
Lesson 1.3 - Graphical Analysis of Motion
Lesson 1.4 - Acceleration
Lesson 1.5 - Kinematics Problems
Unit 2 Description & Learning Goals
Lesson 2.1 - Introduction to Forces
Lesson 2.2 - Newton's Laws
Unit 2 Assignment: Newton's Law Poster
Lesson 2.3 - Friction
Lesson 2.4 - Universal Law of Gravitation
Unit 3 Description
Lesson 3.2 - Work
Lesson 3.3 - Mechanical Energy
Lesson 3.4 - Conservation of Energy
Lesson 3.5 - Thermodynamics
Lesson 3.6 - Power
Unit 4 Description & Learning Goals
Lesson 4.2 - The Universal Wave Equation
Lesson 4.3 - Properties of Waves
Lesson 4.4 - Wave Interference
Lesson 4.6 - Resonance
Lesson 4.7 - Sound
Lesson 7 Sound Tables
Lesson 4.9 - Doppler Effect
Lesson 4.10 - Air Column Resonance
Lesson 4.11 - Musical Instruments
Lesson 4.12 - Electronic Instruments
Unit 5 Description
Lesson 5.2 - Coulomb's Law and Electric Current
Lesson 5.3 - Kirchhoff's Laws
Lesson 5.4 - Electromagnetism
Lesson 5.5 - Solenoid
Lesson 5.6 - DC Motor