Lesson 4.9 - Doppler Effect

VIDEO LESSON (32:09 min)

Video is not accessible in some countries. If you cannot view it, you might need VPN to do so.

CONSIDER A TRAIN BLOWING ITS WHISTLE AS IT PASSES YOU.


The frequency of the whistle changes as it passes, from a higher frequency to a lower frequency. However, the engineer on train experience no change in pitch. Why is this the case?



DOPPLER EFFECT



EXAMPLE


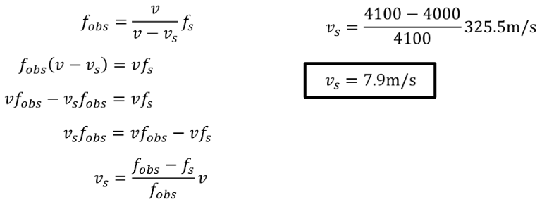
EXAMPLE


APPLICATIONS


SONIC BOOM


MACH CONE ANGLE




Last modified: Sunday, 12 April 2026, 11:49 AM